You are given a positive integer n representing the number of nodes of a Directed Acyclic Graph (DAG). The nodes are numbered from 0 to n - 1 (inclusive).
You are also given a 2D integer array edges, where edges[i] = [fromi, toi] denotes that there is a unidirectional edge from fromi to toi in the graph.
Return a list answer, where answer[i] is the list of ancestors of the ith node, sorted in ascending order.
A node u is an ancestor of another node v if u can reach v via a set of edges.
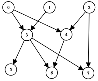
Example 1:
Input: n = 8, edgeList = [[0,3],[0,4],[1,3],[2,4],[2,7],[3,5],[3,6],[3,7],[4,6]] Output: [[],[],[],[0,1],[0,2],[0,1,3],[0,1,2,3,4],[0,1,2,3]] Explanation: The above diagram represents the input graph. - Nodes 0, 1, and 2 do not have any ancestors. - Node 3 has two ancestors 0 and 1. - Node 4 has two ancestors 0 and 2. - Node 5 has three ancestors 0, 1, and 3. - Node 6 has five ancestors 0, 1, 2, 3, and 4. - Node 7 has four ancestors 0, 1, 2, and 3.
Example 2:
Input: n = 5, edgeList = [[0,1],[0,2],[0,3],[0,4],[1,2],[1,3],[1,4],[2,3],[2,4],[3,4]] Output: [[],[0],[0,1],[0,1,2],[0,1,2,3]] Explanation: The above diagram represents the input graph. - Node 0 does not have any ancestor. - Node 1 has one ancestor 0. - Node 2 has two ancestors 0 and 1. - Node 3 has three ancestors 0, 1, and 2. - Node 4 has four ancestors 0, 1, 2, and 3.
Constraints:
1 <= n <= 10000 <= edges.length <= min(2000, n * (n - 1) / 2)edges[i].length == 20 <= fromi, toi <= n - 1fromi != toi- There are no duplicate edges.
- The graph is directed and acyclic.
Related Topics:
Depth-First Search, Breadth-First Search, Graph, Topological Sort
Similar Questions:
// OJ: https://leetcode.com/problems/all-ancestors-of-a-node-in-a-directed-acyclic-graph/
// Author: github.com/lzl124631x
// Time: O(N^2)
// Space: O(N^2)
class Solution {
public:
vector<vector<int>> getAncestors(int n, vector<vector<int>>& E) {
vector<vector<int>> G(n), ans(n);
bool connect[1001][1001] = {};
for (auto &e : E) G[e[0]].push_back(e[1]);
function<void(int, int)> dfs = [&](int u, int s) {
if (connect[s][u]) return; // If `s` has been added as a source node of `u` already, skip
connect[s][u] = true;
for (int v : G[u]) dfs(v, s);
};
for (int i = 0; i < n; ++i) dfs(i, i);
for (int i = 0; i < n; ++i) {
for (int j = 0; j < n; ++j) {
if (i != j && connect[i][j]) ans[j].push_back(i);
}
}
return ans;
}
};// OJ: https://leetcode.com/problems/all-ancestors-of-a-node-in-a-directed-acyclic-graph/
// Author: github.com/lzl124631x
// Time: O(N^2)
// Space: O(E)
class Solution {
public:
vector<vector<int>> getAncestors(int n, vector<vector<int>>& E) {
vector<vector<int>> G(n), ans(n);
for (auto &e : E) G[e[0]].push_back(e[1]);
function<void(int, int)> dfs = [&](int u, int s) {
for (int v : G[u]) {
if (ans[v].size() && ans[v].back() == s) continue;
ans[v].push_back(s);
dfs(v, s);
}
};
for (int i = 0; i < n; ++i) dfs(i, i);
return ans;
}
};
