Skip to content

Latest commit

 

History

History

Folders and files

NameName
Last commit message
Last commit date

parent directory

..
 
 
 
 
 
 

README.md

Medium


You have n binary tree nodes numbered from 0 to n - 1 where node i has two children leftChild[i] and rightChild[i], return true if and only if all the given nodes form exactly one valid binary tree.

If node i has no left child then leftChild[i] will equal -1, similarly for the right child.

Note that the nodes have no values and that we only use the node numbers in this problem.

 

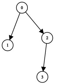
Example 1:

Input: n = 4, leftChild = [1,-1,3,-1], rightChild = [2,-1,-1,-1]
Output: true

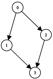
Example 2:

Input: n = 4, leftChild = [1,-1,3,-1], rightChild = [2,3,-1,-1]
Output: false

Example 3:

Input: n = 2, leftChild = [1,0], rightChild = [-1,-1]
Output: false

 

Constraints:

  • n == leftChild.length == rightChild.length
  • 1 <= n <= 104
  • -1 <= leftChild[i], rightChild[i] <= n - 1